From November 20th to November 25th, 17 students of SMAE went to Singapore to participa...
Time domain load extrapolation method for CNC machine too...
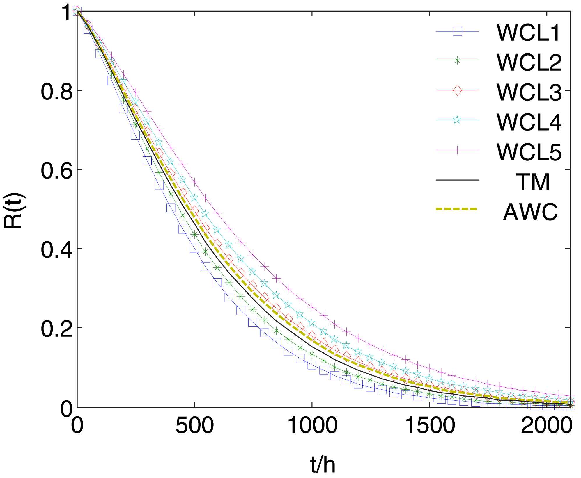
Application of power law model in reliability evaluation ...
Fatigue device driven by a three degree of freedom tripod...
Development of a Novel Parasitic-Type Piezoelectric Actua...
Suppressing the backward motion of a stick-slip piezoelec...
On the Suppression of the Backward Motion of a Piezo-Driv...